In cigarette and e-cigarette studies, the initial composition of the compound being aerosolized, as well as puffing topography has appreciable effects on the puff characteristics and downstream effects on health. To better standardize research and reduce external confounds, the International Organization for Standardization (ISO) provides guidelines for both standard and intense cigarette smoking puffs, as well as a standardized e-cigarette puff. 1,2,3 The composition of e-cigarette liquid is highly variable; no standard formulation is yet used in research applications and both carrier composition and flavourings are known to change outcomes.4,5 The composition of tobacco used by various cigarette manufactures is also variable, however standardized cigarettes have been generated by the University of Kentucky for research purposes.6 These cigarettes use a mix of tobacco sources to best reflect the current cigarette market and are created in large batches that are trackable. By creating a large number of these cigarettes in a single batch, labs are assured of a common cigarette composition which makes comparison across time and locations much easier.
The most recent widely used batch, 3R4F, has generated a great number of important insights but as the available stock diminishes, a new mixture is needed. This newest batch is named 1R6F. An in-depth comparison of 3R4F to 1R6F cigarettes finds that 1R6F cigarettes are a suitable substitute for 3R4F in research applications.7 This being said, there are differences between the batches, including different percentages of humectants, lower resistance to draw, a lower number of puffs per cigarette as well differences in both tar and nicotine amounts per cigarette.7 These differences should be considered carefully by labs with a long history of using 3R4F cigarettes; particularly if they notice differences between current and previous study results.

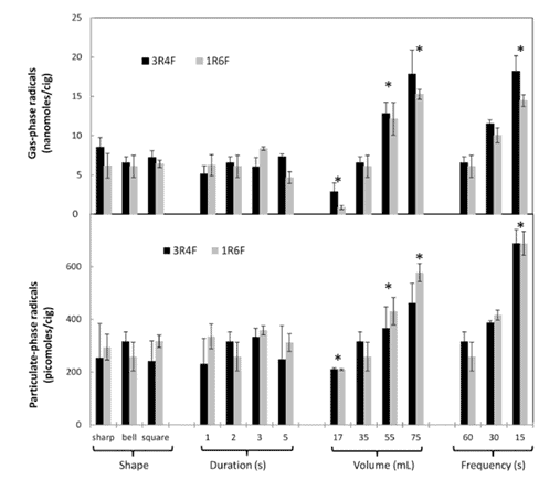
The influence of the puff profile should not be underestimated either. A recent study undertaken by Goel et al. compares two of the most widely used puffing profiles, the ISO standard (ISO) vs. Canadian Intense (CI) puff.8 The ISO puff is a 2s long, 35ml puff taken once per minute. The CI puff is a 2s long, 55ml puff taken twice per minute. Results using both 3R4F, 1R6F and 4 different varieties of cigarettes available on the market all show marked differences in smoke composition under these different puff regimens. Unsurprisingly, the CI profile gives rise to greater numbers of particulates and free radicals. Modification of the initial cigarette composition, puff frequency or total puff volume has the greatest impact on the smoke generated (figure 2). Importantly, neither puff shape nor duration significantly alters smoke properties as long as the volume is held constant.
Overall, standardization of experimental conditions used by both the industry and in research labs across the world is important to pin down the cause and effect of important findings. Where non-standard conditions are used, it is important that authors fully report the specific protocol used so that study comparisons/ replications can be done.
flexiWare provides great opportunities to customize puff attributes such as puff volume, shape and timings. This can be used by users to conform to ISO conditions, replicate the conditions of previously published methods or to try something altogether new.

Interested in learning more about flexiWare and how it can help your research?
Welcome to SCIREQ’s knowledge center. You can find everything from software registration to document downloads to complete list of SCIREQ publications in this section. Everything you need to get the most out of your SCIREQ system.