EN | FR
EN | FR
Search

Empower Yourself

Attending a training such as the Phenotyping Mice Models of Human Lung Disease organized by the Jackson Laboratory is a great way to advance skillsets or simply get started in the field of respiratory research. It represents a wonderful opportunity for researchers of all stages to learn and network in a structured yet informal environment. The uniqueness of the event lies in the roundness of the approach, which combines theoretical sessions and practical experience in all topics.
 
SCIREQ has been a partner in this event for years now and has contributed with providing hands-on experience to participants with lung function measurements using the flexiVent alongside authorities in the field. Practical exercises are designed to demonstrate a response to a particular intervention, highlight unique measurements (including partitioning the lungs between airway and tissue effects), and analyze outcomes with respect to their physiological implications.
 
JAX Experiments
As an example, participants were guided during the last workshop to utilize pressure-volume loops to confirm the effects of an intervention with implications on lung surfactant and atelectasis.
JAX Mice Models Lung Disease
Figure 1: Pressure-volume loops from a subject before (left) and after (right) a lung lavage. The red line represents the Salazar-Knowles equation fit to the deflation limb of the pressure-volume curve.

They were also invited to examine the effect of increasing the positive end expiratory pressure (PEEP) during ventilation and lung function measurements while exploring the impact on detailed respiratory mechanics parameters before and after the intervention.

 
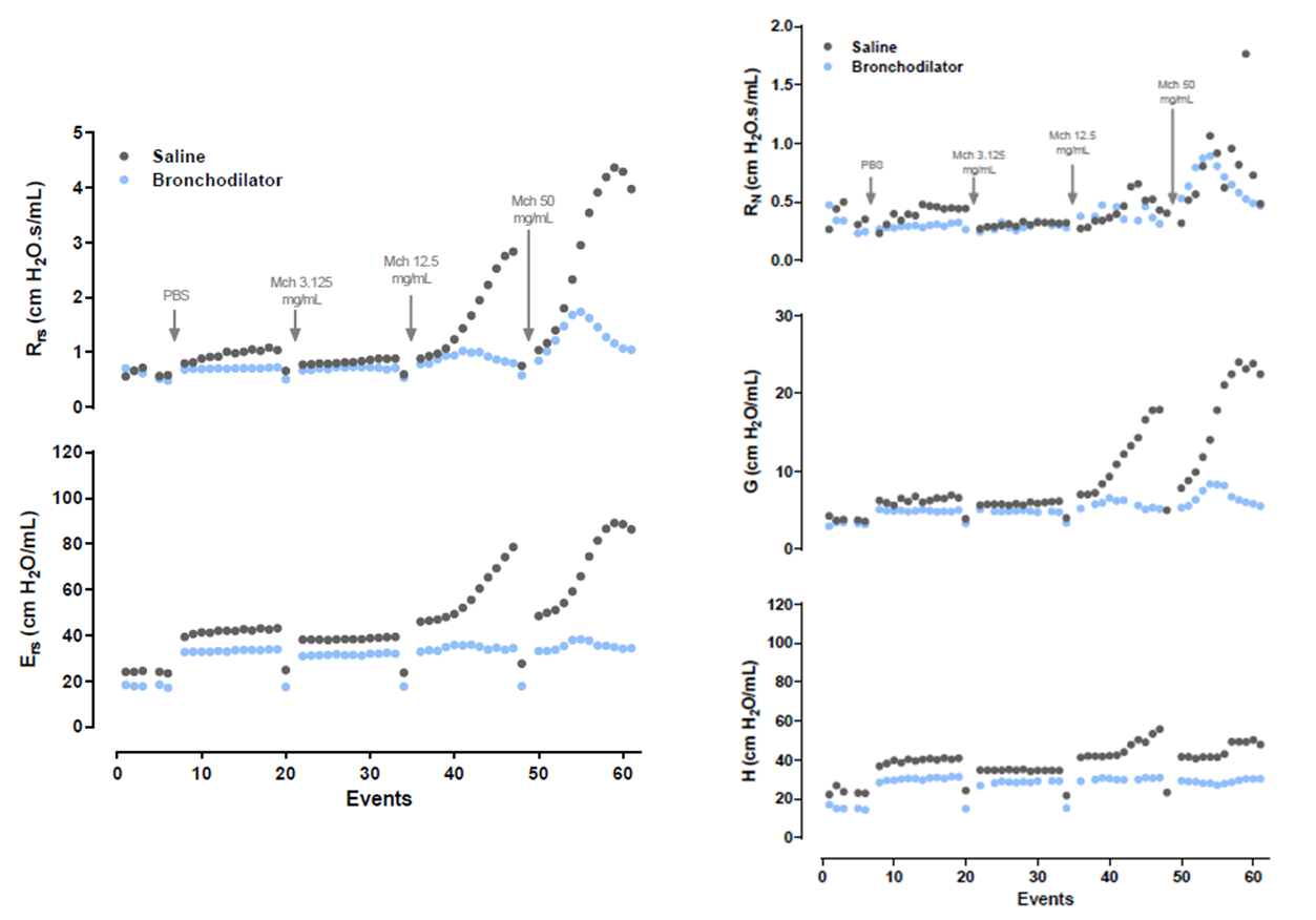
Airway responsiveness to a specific bronchoconstrictor agent before and after a therapeutic treatment or an assessment of various lung volumes are also typically part of the repertoire of techniques taught.  
Figure 2: Single (left) and broadband (right) forced oscillation outcomes prior to and following increasing doses of nebulised methacholine in presence or absence of a bronchodilator treatment.
Looking forward
The event runs every second year in Bar Harbor, Maine, and accepts a limited number of participants. Plan ahead to take part in the workshop, which we highly recommend to both senior researchers and students alike. 

Empowering researchers

Welcome to SCIREQ’s knowledge center. You can find everything from software registration to document downloads to complete list of SCIREQ publications in this section. Everything you need to get the most out of your SCIREQ system.